| About us |  |






| Elections |  |






| Civil Society |  |




| Points of view |  |





| Useful information |  |



|  |
Socioeconomic Commentaries

Hedgehopping of Moldovan economy
Galina Selari, Anatol Gudim, February 15, 2006
While adapting to the "independence" and the market, already has been six years in a row (2000 - 2005) when Moldovan economy started show signs of growth, but neither government, nor business or population have any confidence in its sustainability.
Why is it so? The answer lies in the results of the year 2005 and paradoxes of economic growth during the post-crisis period as a whole.
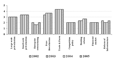
So, for the first time in the new Moldova's history, the Government - in complete concordance with the President and the Parliament - worked for whole electorate cycle and was mandated for the new 4-year term. It is our 10th government since 1990 and it is important that, as President V. Voronin put it, "the current Government did not come to an empty place, as it was in 2001. The ground for fruitful work has been paved."1 What is more, the Tarlev-2-Government has a quite considerable package of mid-term strategies in reserve, including Strategy of Economic Growth and Poverty Reduction (2004 - 2006) and Action Plan Republic of Moldova - European Union (2005 - 2007). These documents are still considered as the Government's declarations of intentions to realize structural reforms in a very broad range of directions. One could expect though that, if these intentions are realized (and transposed to the scale of EBRD ratings), our country could notably advance along the way of creating reliable prerequisites for sustainable economic growth. For the time being results of reforms in the Moldovan economy are unconvincing. And in most cases the indicators confirmed that it is in "hedge-hopping flight" (see Graph)
Dynamics of economic changes in Moldova2
At first glance, economic situation seems to be evolving successfully: GDP and production are growing, inflation is under control, and quality of macroeconomic policy is evaluated positively by a number of international agencies. As well as we look good according to statistics: Moldova enjoyed higher growth rate in 2005 (during 9 months of 2005) - 8.4%, than Romania and Bulgaria (5%), Ukraine (2.8) and CIS mean (6%).
At the same time, according to the National Statistics Office, Moldova's economic indicators in 2005 were contradictory:3
- Industrial production - the rate of 6.3% (9%);
- Agricultural production - 1% (3.5%);
- Investments to fixed capital - 1% (11%)
- Export - 10.8% (16%)
- Import - 30.7% (21%)
- Average annual inflation - 11.9% (12%)
- Average monthly wage - 6.8% (12%).
As for GDP figures, according to our estimates, 7% growth expected during the design of the mid-term expenditures forecast (2006 - 2008) failed to realize in 2005; it will be lower and will not exceed 6%. The question whether this is much or not has no simple answer and requires explanations. What are the causes of growth rates slowing down as compared with 2004? How could be this growth be assessed as regards its sources and external effects?
It is quite obvious, the government tried to improve situation in the economy and processes of deregulation started. Among them are: reduction of administrative barriers to entrepreneurial activity, improvement of the budgetary process and inter-budget relations; gradual renewal of capital assets, growth of the National Bank's monetary reserves, decline in inflation have been observed also. The reform of public administration has started, and solutions proposed within its framework quite correspond to challenges of the time: more precise definition of the executive power functions, reduction of possibilities for emerging conflicts of interests within state bodies (that's what the Guillotine Law is aimed at), and fight against corruption. As a result, as compared with the previous structure, number of central bodies of public administration reduced from 31 (16 ministries and 15 other agencies) to 28 (15 and 13).. At that, the dragging drafting of regulations on the newly created and re-organized ministries and departments, as well as the announced considerable reduction of the state apparatus' staff (down to 70%!), as one could expect, caused a lot of conflicts. Difficulties in the field of justice still exist, and existing level of corruption in the courts harms both entrepreneurs and population.
It is obvious that possibilities of consolidation of economic growth mainly through improvement of legislation have been exhausted: it is already clear to everyone that it's insufficient to have a good legislation, and it's important so that its norms were observed in practice, which requires efficient state apparatus, just courts, adequate law-enforcement and consistent legal system. No law can yield expected results without all state bodies ensuring its execution and courts defending citizens or entrepreneurs be their rights violated.
Undoubtedly, Moldova needs economic growth. The question lies in its quality. GDP has to show both through expansion of employment, increase in incomes and reduction of social inequality. For the time being, with reference to the Moldovan economy, one can mainly speak of restoration growth, i.e. which results mainly from involvement of standing capacities to production. Hence problems of quality of growth: productivity of social labor (value added produced per one employed in the economy) shows digressive growth - 10% in 2005 compared with 15% and 11% in 2003 and 2004 correspondingly. At that, number of those employed in the economy is also stably decreasing, while underemployment increases (+ 12% as compared to 2004).
Moldova is a country of a small and open economy. And it is quite vulnerable to impact of external factors of economic growth. This can be seen from the paradox: domestic demand in Moldova exceeds the country's GDP by more than 30%, import is twice as large as export. According to the data of the National Statistics Office, in 2005 export was 10% smaller than the trade deficit. At that, volume of the declared export (information of the Customs Service) as compared to 2004 decreased (!) by 5%. Keeping tradition, the National Bank introduces a certain amount of optimism: in 2005, for the first time, services black ink was registered, which somewhat compensates critical situation concerning export of goods. Which means that the opinion stating that economic growth (final households' consumption) is mainly conditioned by the inflow of funds earned by Moldovan citizens abroad, is still correct (these funds have been covering 70% of the deficit of goods and services lately).
Search for an answer to the questions - when and how abruptly the "tsunami" of remittances will subside? and what will happen with all this? - become more and more topical. The majority thinks that GDP growth rate will drop considerably given that inflow of remittances from abroad subsides. An extreme variant can be that growth will turn into recession. Unfortunately, the future is unpredictable. But sound policy should foresee it. Such situations can usually be explained well post factum, but it's just not enough for the fate of the country and its population.
Thus, one can agree with the fact that "the ground for fruitful work has been paved", even if we proceeded to realization of the main task - to change the growth paradigm, we did it in a timid way.
An outsider can see this well. So, the Rating Agency Fitch IBCA didn't change Moldova's credit ratings in December of 2005 again (long-term ones in foreign and national currencies at "B-" and "B" correspondingly and short-term in the national currency - at "B"), having assessed economic situation as an extremely difficult one (considerable labor migration, narrow production basis, insufficient inflow of investments to the economy, although it noted adequate quality of the existing labor force). At that, the stably low "B-"rating is related to relatively uncertain relations of the country with creditors, members of the Paris Club, first of all.
Moldovan population also shares the point of view of international experts: the results of an opinion poll conducted in internet by the sociological service "Opinia" show that 70% of respondents consider socio-economic situation in the country to improve a bit or remained unchanged in 2005, but is still bad (the same 70%)4. And everyone knows that even under the annual GDP growth rate equaled to 7%, the level of 1990 will be achieved only by 2015.
The time has come to proceed from PR-economy -we have had the good results on that - to intensive realization of the tactics of socio-economic break-through that would ensure transition to a new model of economic growth - from the post-crisis growth to the investment one.
And it is very important that it would be the current year of 2006 when this transition would show materially. It is this year after all when summation of implementation of EG PRSP and Action Plan RM-EU (interim) is set. It is time to make government intentions, reforms and actions of previous years accumulate at last in positive changes in the economy.
The following should become priorities of 2006 for all players - government, business community, civil and donor societies:
- Stimulation of innovative development of the economy, elimination of "bottlenecks" of development, of infrastructural and technological nature first of all (according to expert estimates of UNCTAD, Moldova is 65th among 117 countries as regards innovative capabilities)5;
- Strengthening of guarantees of property rights, including intellectual property, as well as continuation of privatization and improvement of efficiency of state property management;
- Improvement of competitiveness - including on internal market - of domestic firms, development of small and medium entrepreneurship, as a real capacity for attraction of investments and employment expansion;
- Regional development, support of 10-12 towns as growth poles for surrounding territories, creation of conditions that would stimulate towns and regions to mobilize available resources for social and economic development.
Finally, both economy and population require creation of conditions for improvement of human capabilities and competitiveness in Moldova - improvement of efficiency of healthcare, education, social protection, housing policy, and poverty and inequality elimination. For the time being though, according to the latest UN Report Moldova slipped down the human development index again.
1 Nezavisinaia Moldova, 29.04.2005
2 http://www.ebrd.com/pubs/econo/series/tr.htm Estimates of indicators are given on the scale of 1 to 4+, where 1 characterizes complete lack of reformation process of the strictly constructed planned economy and 4+ characterizes achievement of market economy standards accepted in industrially developed countries.
3 Real growth rates as compared to 2004. The latest (September 2005) estimation of indicators by the Ministry of Economy and Trade is given in parenthesis; Monitorul Oficial, ¹ 148-150, p. 9
4 Infotag, 31.01.2006
5 Доклад о мировых инвестициях 2005, с.114
|
 |





|